Lo scorso 29 settembre il presidente Trump ha consegnato ai media il “Piano complessivo per porre fine al conflitto di Gaza” dopo la conferenza stampa con il primo ministro Netanyahu, il quale ne ha confermato l’accettazione da parte di Israele. Il piano è composto da 20 punti che sono stati successivamente sottoposti ai negoziatori in vista della firma dell’accordo al vertice di Sharm el–Sheikh.
Ecco il testo completo del piano del presidente, fornito dalla Casa Bianca:
“Piano complessivo per porre fine al conflitto di Gaza”
1. Gaza sarà una zona deradicalizzata e libera dal terrorismo che non rappresenterà una minaccia per i suoi vicini.
2. Gaza sarà riqualificata a beneficio della popolazione di Gaza, che ha sofferto più che abbastanza.
3. Se entrambe le parti acconsentono a questa proposta, la guerra avrà immediatamente fine. Le forze israeliane si ritireranno sulla linea concordata per preparare il rilascio degli ostaggi. Durante questo periodo, tutte le operazioni militari, compresi i bombardamenti aerei e di artiglieria, saranno sospese e le linee di battaglia rimarranno congelate fino a quando non saranno soddisfatte le condizioni per un ritiro graduale completo.
4. Entro 72 ore dall’accettazione pubblica di questo accordo da parte di Israele, tutti gli ostaggi, vivi e deceduti, saranno restituiti.
5. Una volta rilasciati tutti gli ostaggi, Israele rilascerà 250 ergastolani e 1.700 cittadini di Gaza detenuti dopo il 7 ottobre 2023, comprese tutte le donne e i bambini detenuti in tale contesto. Per ogni ostaggio israeliano i cui resti saranno rilasciati, Israele rilascerà i resti di 15 cittadini di Gaza deceduti.
6. Una volta restituiti tutti gli ostaggi, i membri di Hamas che si impegnano a una coesistenza pacifica e a smantellare le proprie armi otterranno l’amnistia. Ai membri di Hamas che desiderano lasciare Gaza verrà garantito un passaggio sicuro verso i paesi di accoglienza.
7. Una volta accettato il presente accordo, tutti gli aiuti saranno immediatamente inviati nella Striscia di Gaza. Come minimo, le quantità di aiuti saranno coerenti con quanto previsto dall’accordo del 19 gennaio 2025 in materia di aiuti umanitari, tra cui la riabilitazione delle infrastrutture (acqua, elettricità, fognature), la ristrutturazione di ospedali e panifici e l’invio delle attrezzature necessarie per la rimozione delle macerie e la riapertura delle strade.
8. L’ingresso di distribuzione e aiuti nella Striscia di Gaza avverrà senza interferenze da parte delle due parti attraverso le Nazioni Unite e le sue agenzie, la Mezzaluna Rossa e altre istituzioni internazionali non associate in alcun modo a nessuna delle due parti. L’apertura del valico di Rafah in entrambe le direzioni sarà soggetta allo stesso meccanismo implementato nell’accordo del 19 gennaio 2025.
9. Gaza sarà governata da un comitato palestinese tecnocratico e apolitico, responsabile della gestione quotidiana dei servizi pubblici e delle amministrazioni comunali per la popolazione di Gaza. Questo comitato sarà composto da palestinesi qualificati ed esperti internazionali, con la supervisione e la supervisione di un nuovo organismo internazionale di transizione, il “Board of Peace”, che sarà presieduto dal Presidente Donald J. Trump, con altri membri e capi di Stato che saranno annunciati, tra cui l’ex Primo Ministro Tony Blair. Questo organismo definirà il quadro e gestirà i finanziamenti per la riqualificazione di Gaza fino a quando l’Autorità Nazionale Palestinese non avrà completato il suo programma di riforme, come delineato in diverse proposte, tra cui il piano di pace del Presidente Trump del 2020 e la proposta franco-saudita, e potrà riprendere il controllo di Gaza in modo sicuro ed efficace. Questo organismo si baserà sui migliori standard internazionali per creare una governance moderna ed efficiente al servizio della popolazione di Gaza e che favorisca l’attrazione di investimenti.
10. Un piano di sviluppo economico di Trump per ricostruire e rivitalizzare Gaza sarà elaborato convocando un gruppo di esperti che hanno contribuito alla nascita di alcune delle fiorenti città moderne miracolose del Medio Oriente. Molte proposte di investimento ponderate e idee di sviluppo entusiasmanti sono state elaborate da gruppi internazionali ben intenzionati e saranno prese in considerazione per sintetizzare i quadri di sicurezza e governance per attrarre e facilitare questi investimenti che creeranno posti di lavoro, opportunità e speranza per il futuro di Gaza.
11. Sarà istituita una zona economica speciale con tariffe e tassi di accesso preferenziali da negoziare con i paesi partecipanti.
12. Nessuno sarà costretto a lasciare Gaza e coloro che lo desiderano saranno liberi di farlo e di tornare. Incoraggeremo le persone a rimanere e offriremo loro l’opportunità di costruire una Gaza migliore.
13. Hamas e altre fazioni concordano di non avere alcun ruolo nella governance di Gaza, direttamente, indirettamente o in qualsiasi forma. Tutte le infrastrutture militari, terroristiche e offensive, compresi i tunnel e gli impianti di produzione di armi, saranno distrutte e non ricostruite. Ci sarà un processo di smilitarizzazione di Gaza sotto la supervisione di osservatori indipendenti, che includerà la messa fuori uso permanente delle armi attraverso un processo concordato di dismissione, e supportato da un programma di riacquisto e reintegrazione finanziato a livello internazionale, il tutto verificato dagli osservatori indipendenti. La Nuova Gaza sarà pienamente impegnata a costruire un’economia prospera e a coesistere pacificamente con i propri vicini.
14. I partner regionali forniranno una garanzia per assicurare che Hamas e le fazioni rispettino i propri obblighi e che la Nuova Gaza non rappresenti una minaccia per i suoi vicini o per la sua popolazione.
15. Gli Stati Uniti collaboreranno con i partner arabi e internazionali per sviluppare una Forza di Stabilizzazione Internazionale (ISF) temporanea da dispiegare immediatamente a Gaza. L’ISF addestrerà e fornirà supporto alle forze di polizia palestinesi selezionate a Gaza e si consulterà con Giordania ed Egitto, che vantano una vasta esperienza in questo campo. Questa forza rappresenterà la soluzione di sicurezza interna a lungo termine. L’ISF collaborerà con Israele ed Egitto per contribuire a proteggere le aree di confine, insieme alle forze di polizia palestinesi di recente formazione. È fondamentale impedire l’ingresso di munizioni a Gaza e facilitare il flusso rapido e sicuro di merci per ricostruire e rivitalizzare Gaza. Le parti concorderanno un meccanismo di deconflittualità.
16. Israele non occuperà né annetterà Gaza. Man mano che le Forze di Difesa Israeliane (ISF) ristabiliranno il controllo e la stabilità, le Forze di Difesa Israeliane (IDF) si ritireranno in base a standard, tappe e tempistiche legate alla smilitarizzazione che saranno concordati tra le IDF, le ISF, i garanti e gli Stati Uniti, con l’obiettivo di una Gaza sicura che non rappresenti più una minaccia per Israele, l’Egitto o i suoi cittadini. In pratica, le IDF cederanno progressivamente il territorio di Gaza che occupano alle ISF in base a un accordo che stipuleranno con l’autorità di transizione fino al loro completo ritiro da Gaza, fatta eccezione per una presenza di un perimetro di sicurezza che rimarrà finché Gaza non sarà adeguatamente protetta da qualsiasi minaccia terroristica.
17. Nel caso in cui Hamas ritardi o respinga questa proposta, quanto sopra, compresa l’operazione di aiuti intensificata, verrà portato avanti nelle aree libere dal terrorismo consegnate dalle IDF alle ISF.
18. Sarà avviato un processo di dialogo interreligioso basato sui valori della tolleranza e della coesistenza pacifica per cercare di cambiare la mentalità e le narrazioni di palestinesi e israeliani, sottolineando i benefici che possono derivare dalla pace.
19. Mentre procede lo sviluppo di Gaza e quando il programma di riforma dell’Autorità Nazionale Palestinese viene fedelmente portato avanti, potrebbero finalmente crearsi le condizioni per un percorso credibile verso l’autodeterminazione e lo Stato palestinese, che riconosciamo come l’aspirazione del popolo palestinese.
20. Gli Stati Uniti avvieranno un dialogo tra Israele e i palestinesi per concordare un orizzonte politico per una coesistenza pacifica e prospera.

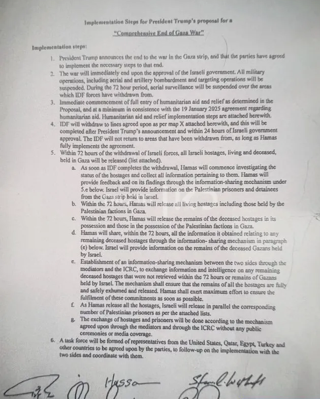
Dopo il vertice in Egitto, il quotidiano Middle East Eye ha ottenuto una copia dell’accordo firmato da Israele, Hamas e dai mediatori per porre fine al conflitto. Il documento, che include le firme di diversi mediatori, tra cui l’inviato degli Stati Uniti Steve Witkoff, è intitolato “Passi di attuazione per la proposta del presidente Trump per una ‘fine completa della guerra di Gaza’” e descrive in dettaglio sei fasi dell’accordo, ecco il documento integrale:
Fasi di attuazione della proposta del presidente Trump per una “fine globale della guerra di Gaza”
1. Il presidente Trump annuncia la fine della guerra nella Striscia di Gaza e che le parti hanno concordato di attuare le misure necessarie a tal fine.
2. La guerra finirà immediatamente dopo l’approvazione del governo israeliano. Tutte le operazioni militari, compresi i bombardamenti aerei e di artiglieria e le operazioni di puntamento, saranno sospese. Durante il periodo di 72 ore, la sorveglianza aerea sarà sospesa sulle aree da cui le forze dell’IDF si sono ritirate.
3. Avvio immediato dell’ingresso a pieno titolo degli aiuti umanitari e degli aiuti umanitari, come stabilito nella proposta, e almeno in linea con l’accordo del 19 gennaio 2025 relativo agli aiuti umanitari. Le misure per l’attuazione degli aiuti umanitari e dei soccorsi sono allegate al presente documento.
4. L’IDF si ritirerà sulle linee concordate, come da mappa X allegata al presente documento, e questo sarà completato dopo l’annuncio del presidente Trump ed entro 24 ore dall’approvazione del governo israeliano. L’IDF non tornerà nelle aree da cui si è ritirato, fino a quando Hamas attuerà pienamente l’accordo.
5. Entro 72 ore dal ritiro delle forze israeliane, tutti gli ostaggi israeliani, vivi e deceduti, detenuti a Gaza saranno rilasciati (elenco allegato).
a. Non appena l’IDF completerà il ritiro, Hamas inizierà a indagare sullo stato degli ostaggi e raccoglierà tutte le informazioni che li riguardano. Hamas fornirà un feedback sui suoi risultati attraverso il meccanismo di condivisione delle informazioni di cui al punto 5.e di seguito. Israele fornirà informazioni sui prigionieri e sui detenuti palestinesi della Striscia di Gaza detenuti in Israele.
b. Entro le 72 ore, Hamas rilascerà tutti gli ostaggi viventi, compresi quelli detenuti dalle fazioni palestinesi a Gaza.
c. Entro le 72 ore, Hamas rilascerà i resti degli ostaggi deceduti in suo possesso e di quelli in possesso delle fazioni palestinesi a Gaza
d. Hamas condividerà, entro 72 ore, tutte le informazioni ottenute relative a tutti gli ostaggi deceduti attraverso il meccanismo di condivisione delle informazioni di cui al paragrafo (e) di seguito. Israele fornirà informazioni sui resti dei morti di Gaza detenuti da Israele.
e. Istituzione di un meccanismo di condivisione delle informazioni tra le due parti, attraverso i mediatori e il CICR, per scambiare informazioni e intelligence su eventuali ostaggi deceduti che non sono stati recuperati entro 72 ore o sui resti degli abitanti di Gaza detenuti da Israele. Il meccanismo deve garantire che i resti di tutti gli ostaggi siano riesumati e rilasciati in modo completo e sicuro. Hamas si adopererà al massimo per garantire l’adempimento di tali impegni il prima possibile.
f. Mentre Hamas rilascia tutti gli ostaggi, Israele rilascerà in parallelo il numero corrispondente di prigionieri palestinesi secondo le liste allegate.
g. Lo scambio di ostaggi e prigionieri avverrà secondo il meccanismo concordato attraverso i mediatori e attraverso il CICR, senza alcuna cerimonia pubblica o copertura mediatica
6. Sarà formata una task force composta da rappresentanti degli Stati Uniti, del Qatar, dell’Egitto, della Turchia e di altri paesi concordati dalle parti, per seguire l’attuazione con le due parti e coordinarsi con esse.

